Contents
[prev]
4 [next]
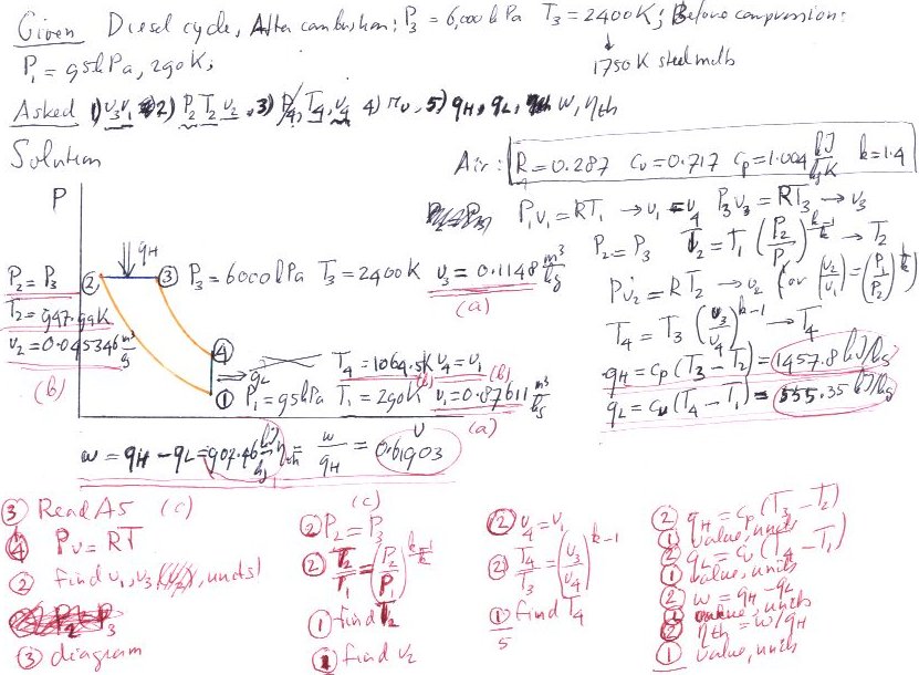
Solution
Solution
[prev]
4 [next]
Contents