Contents
[prev]
3
[next]
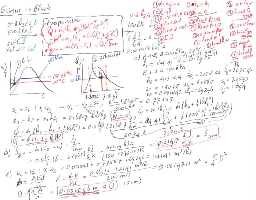
Solution
Solution
[prev]
3
[next]
Contents