Up: Return
EML 5725 Computational Fluid Dynamics 10/16/00
Closed book Van Dommelen 2:35-3:25 pm
- 1.
- Consider the following scheme for the steady Burgers' equation:

Does this scheme have the conservative property?
Solution
- 2.
- Use the finite volume method to discretize the two-dimensional
compressible unsteady continuity equation on a regular Cartesian mesh.
Solution
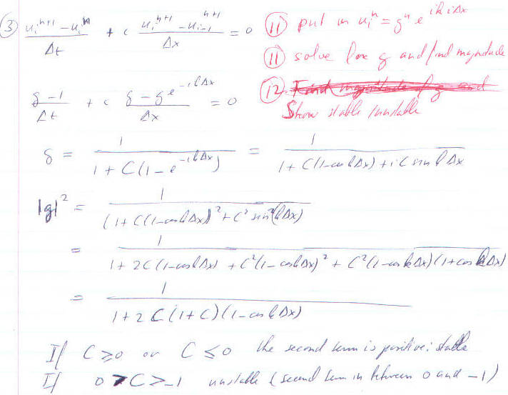
- 3.
- Determine when the following backward time, backward space scheme is stable
and unstable:

Solution
Up: Return