Up: Return
EML 5725 Computational Fluid Dynamics 2/21/03
Closed book Van Dommelen 10:45-11:35 pm
- 1.
- The following numerical scheme:

discretizes the Laplace equation when A = 1 and the wave equation when
A is negative. Assume it is used to solve for un+1j when
u at lower values of n has already been determined. What does the CFL
condition say about this scheme?
Solution
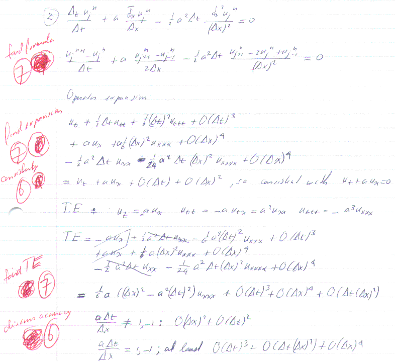
- 2.
- The Lax-Wendroff scheme is

Write this scheme out in terms of mesh point values of u.
Find the PDE which which this scheme is consistent.
Find the normal accuracy of this scheme and any special conditions
under which the scheme would be more accurate.
Solution
- 3.
- Consider the function
for
.
Using
, approximate the derivative of
u at
using both the second order accurate central
difference scheme, as well as the fourth order accurate compact
difference scheme. Which scheme is more accurate?
Solution
Up: Return