Up: Return
EML 5725 Computational Fluid Dynamics 4/2/03
Closed book Van Dommelen 10:45-11:35 pm
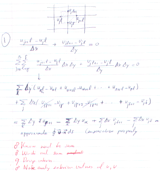
- 1.
- The MAC scheme uses staggered locations of the velocity
components u and v as shown below. Thus the continuity equation
can be approximated to second order using the
following simple formula:

Here j is the mesh line index in the horizontal direction and
l the one in the vertical direction.
Determine whether this formula is conservative.
Solution

- 2.
- Consider the nonuniform mesh shown below,
where j is the mesh line index in the horizontal direction and
l the one in the vertical direction. The mesh spacings are,
by definition,
and
.
Derive a second order accurate formula for the derivative
at an arbitrary wall point j,0 using
the values of the temperature Tj,0, Tj,1, and Tj,2
and the mesh spacings. Show the second order accuracy.
Solution

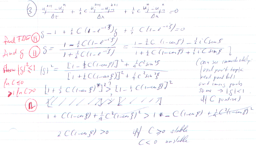
- 3.
- Determine the stability of the following scheme:

Solution
Up: Return