Up: Return
EML 4711/5710 Gas Dynamics 10/14/02
Closed notes Van Dommelen 3:20-4:40 pm
- The book and a calculator may be used.
- Show all reasoning and intermediate results leading to your
answer, or credit will be lost.
- Where tables are used, list table and column number.
- Unless otherwise noted, the gas is air, R = 287 m2/sec2
K = 1716 ft2/sec2 R.
- You must use only the unit system (SI or British) used in the
question to answer them. 1 BTU = 778 ft lbf,
1 slug = 32.2 lbm.
- Standard sea level conditions are p = 101,325 Pa =
2116 lbf/ft2, T = 288 K = 518.4 R.
- 1.
- A pitot probe on a plane flying at sea level measures a pitot
pressure pp of 150 103 N/m2. Find the temperature right
before the tip of the tube. Assume atmospheric conditions are
standard.
Solution.
- 2.
- Air blows down a converging-diverging duct from a big
pressure vessel at 3 atm pressure. A shock occurs somewhere in the
duct at a location that makes the total pressure behind the shock
equal to ambient (1 atm). Find the static pressures immediately
before and immediately behind this shock.
Solution.
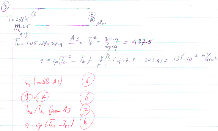
- 3.
- Air enters a constant diameter pipe with a Mach number of 0.5
and a static temperature of 288 K. Find the maximum amount of heat
that can be added to each unit mass flowing through the pipe.
Solution.
- 4.
- Air blows into a constant diameter pipe with a velocity of 228
ft/sec, at a temperature of 540 R and a pressure of 2 atm. It exits
the pipe at ambient pressure (1 atm). If the length of the pipe is 60
ft and the friction coefficient is 0.005, find the exit Mach number,
the total-pressure loss in the pipe and the required diameter of the
pipe.
Solution.
Up: Return