8.2.3 Velocity field

In this subsection we show that our computed velocity field is in excellent agreement with other data such as with the boundary layer computations of Van Dommelen & Shankar (unpublished) and agrees with other recent high resolution numerical computations by Anderson & Reider [3], Kruse & Fischer [120], and Wu, Wu, Ma, & Wu [249], as well as experimental data.

Figure 8.9: Impulsively translated cylinder, $Re=550$: Radial velocity along the rear symmetry axis. Solid lines are vorticity redistribution solutions. Symbols are experimental values of Bouard & Coutanceau [29].
\begin{figure}\par
{\hspace{-4mm} \centerline{\epsfxsize=16.5cm\epsfbox{u5_bc.eps}}}
\par\par
\end{figure}

Figure 8.10: Impulsively translated cylinder, $Re=550$: Radial velocity along the rear symmetry axis. Solid lines are vorticity redistribution solutions. Symbols are solutions computed by Pépin [170], and Loc [133].
\begin{figure}\vspace{7in}
\centerline{
\special{psfile=u5_pe.eps hscale=65 vsca...
...le=u5_lo.eps hscale=65 vscale=65
hoffset=-210 voffset=-40 }}
\par\end{figure}

For $Re=550$, we compare our computed velocity with the experimental results of Bouard & Coutanceau [29] in figure 8.9. There is very good qualitative agreement but the wake seems somewhat too thick. We conjecture that slight unsteadiness might add a bit of eddy viscosity in the experiments. In any case, the computations of Pépin [170] and Loc [133] in figure 8.10 agree well with our values for the wake length, instead of with the experiments. There are still some slight differences between those computations and between those computations and ours. Based on our results for $Re=9,500$ in figure 8.15, discussed later, for which much more reference material is available, we conjecture that our computations at $Re=550$ are the most accurate, followed by Pépin and then Loc. This is consistent with the fact that the data of Pépin at $Re=550$ are closer to ours than those of Loc.

Figure 8.11: Impulsively translated cylinder, $Re=3,000$: Radial velocity along the rear symmetry axis. Solid lines are vorticity redistribution solutions. Symbols are experimental values of Loc & Bouard [134].
\begin{figure}{\hspace{-4mm} \centerline{\epsfxsize=16.5cm\epsfbox{u3e_lb.eps}}}\end{figure}

Figure 8.12: Impulsively translated cylinder, $Re=3,000$: Radial velocity along the rear symmetry axis. Solid lines are vorticity redistribution solutions. Symbols are solutions computed by Hakizumwami [105], Chang & Chern [40], Pépin [170], Cheer [42], Smith & Stansby [215], and Loc & Bouard [134].
\begin{figure}\vspace{7.75in}
\par
\centerline{
{\special{psfile=u3_hk.eps hscal...
... hscale=43 vscale=43
hoffset=-20 voffset=15 }} }
\vspace{-.75in}
\end{figure}

For $Re=3,000$, we compare our computed velocity with that obtained in experiments of Loc & Bouard [134]. Despite the higher Reynolds number, which tends to enhance instabilities, the experimental results agree quite well with our data. Again the experiments show a larger wake size than is supported by our computation. Six other computations [40,42,105,134,170,215] are shown in figure 8.12. Most support our values for the wake length instead of the experimental ones. A notable exception is the computation of Loc & Bouard themselves. Again we conjecture that our computation is more accurate than the other six, with Pépin [170] and Hakizumwami [105] next. This is again consistent with the data for $Re=9,500$ in figure 8.15.

Figure 8.13: Impulsively translated cylinder, $Re=9,500$: Tangential velocity profiles at time $t=0.50$ at various angular distances from the front symmetry line. Dotted lines are standard boundary layer theory. Solid lines are second-order boundary layer theory. Symbols are vorticity redistribution solutions ($\Delta t=0.01$; $\epsilon _\Gamma =10^{-6}$).
\begin{figure}{\hspace{-10mm} \centerline{\epsfxsize=16cm\epsfbox{vprof.eps} }}\end{figure}

For $Re=9,500$, better comparisons are possible since there is much more data available. Further, this flow is more difficult to compute, so that the errors in the various computations show up more clearly. Also, for this high Reynolds numbers, at early times the boundary layer is sufficiently thin that the boundary layer approximation can be used. This is shown in figure 8.13, where both the standard boundary layer solution as well as second order theory are plotted at time $t=0.5$ (unpublished data of Van Dommelen & Shankar). It may be recalled that in boundary layer theory the velocity is expanded in powers of $1/\sqrt{Re}$; standard boundary layer theory retains only the first term in the expansion (the zeroth power of $1/\sqrt{Re}$), while the second-order boundary layer theory retains the first two terms in the expansion (up to the first power of $1/\sqrt{Re}$). The small difference between the two results shows that the boundary layer approximation is still applicable. Since the boundary layer approximation is considerably more straightforward than a Navier-Stokes scheme, figure 8.13 may be the closest to nontrivial ``hard" data that is available for this flow. It is therefore gratifying that our computation produces the most accurate second order theory closely.

Figure 8.14: Impulsively translated cylinder, $Re=9,500$: Radial velocity along the rear symmetry axis. Solid lines are vorticity redistribution solutions. Symbols are experimental values of Loc & Bouard [134].
\begin{figure}{\hspace{-4mm} \centerline{\epsfxsize=16.5cm\epsfbox{u9e_lb.eps}}}
\par\end{figure}

Figure 8.14 compares the computed radial velocity with that obtained in the experiments of Loc & Bouard [134]. Again the experimental data are in good qualitative agreement, but with a somewhat thicker wake than can be supported by our computations or by most others in figure 8.15.

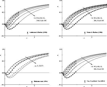
Figure 8.15: Impulsively translated cylinder, $Re=9,500$, part 1: Radial velocity along the rear symmetry axis. Solid lines are vorticity redistribution solutions. Symbols are solution computed by Anderson & Reider [3], Kruse & Fischer [120], Hakizumwami [105], and Wu, Wu, Ma & Wu [249].
\begin{figure}\vspace{5.5in}
\centerline{
{\special{psfile=u9_ar.eps hscale=43 v...
...s hscale=43 vscale=43
hoffset=-20 voffset=0 }} }
\vspace{-0.1in}
\end{figure}

Figure 8.15: Impulsively translated cylinder, $Re=9,500$, part 2: Radial velocity along the rear symmetry axis. Solid lines are vorticity redistribution solutions. Symbols are solution computed by Chang & Chern [40], Pépin [170], Cheer [42], and Loc & Bouard [134].
\begin{figure}\vspace{5.5in}
\par
\centerline{
{\special{psfile=u9_cc.eps hscale...
...ps hscale=43 vscale=43
hoffset=-20 voffset=0 }} }
\vspace{-0.1in}\end{figure}

In figure 8.15, we compare our computed velocity with those of other computations. All those eight recent computations agree well on the general evolution of the velocity profile. However, the best agreement occurs between the results of Anderson & Reider [3], Kruse & Fischer [120], Wu, Wu, Ma, & Wu [249], and our results. This provides a strong verification of our data. This is further supported by the fact that the computations we agree with have plenty of resolution: both the mesh based computations use large amounts of mesh points, while the spectral element computation of Kruse & Fischer uses in effect as many as 12,000 spectral elements with 100 nodes per element.

The vorticity field, a derivative of the velocity field, tends to be even more sensitive to numerical errors than the velocity field. We will examine it in the next subsection.