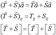
2B4  Sum of Tensors

 

If and are two tensors, then