Part C
Tensor Calculus
Contents of the section:
In this section of the Chapter 2C
, we will examine various types of functions and how to differentiate those functions.
![]()

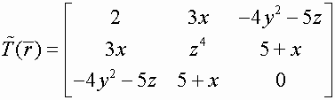
tensor field.then the stress varies at every point giving different 9 components (6 since it is symmetric), giving the concept of