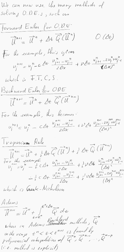
Grab0003.GIF