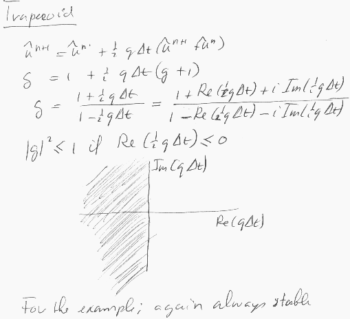
Grab0008.GIF