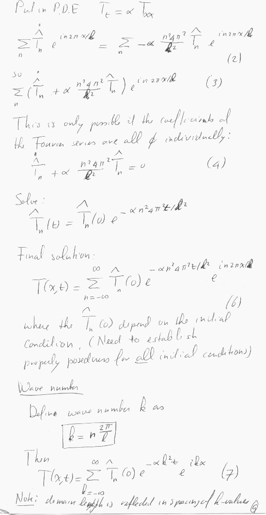
Grab0009.GIF