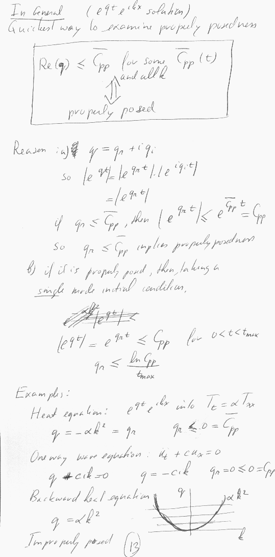
Grab0013.GIF