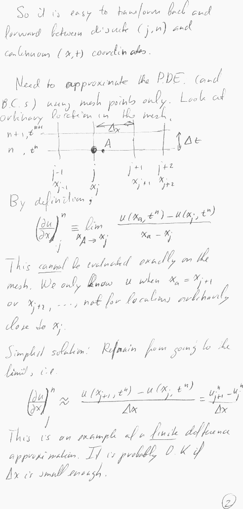
Grab0002.GIF