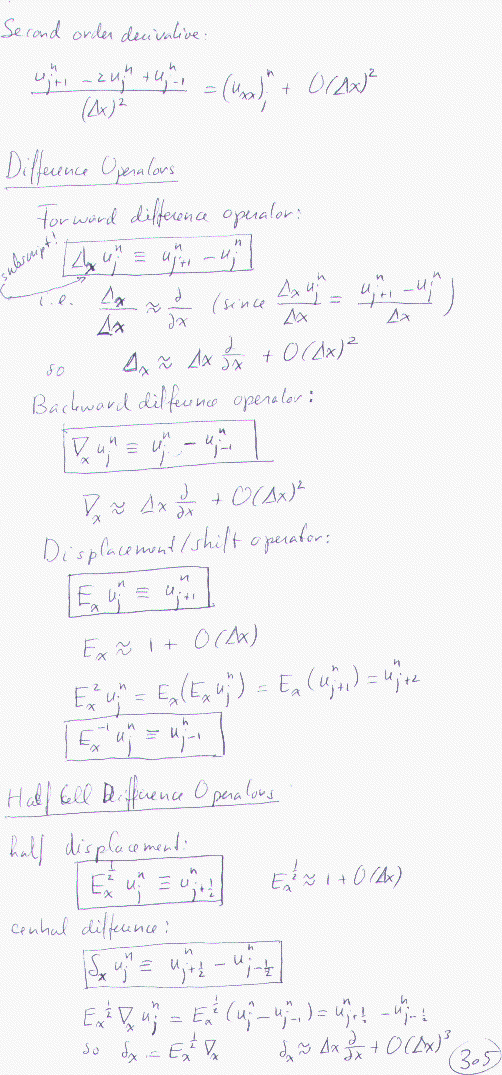
Grab0005.GIF