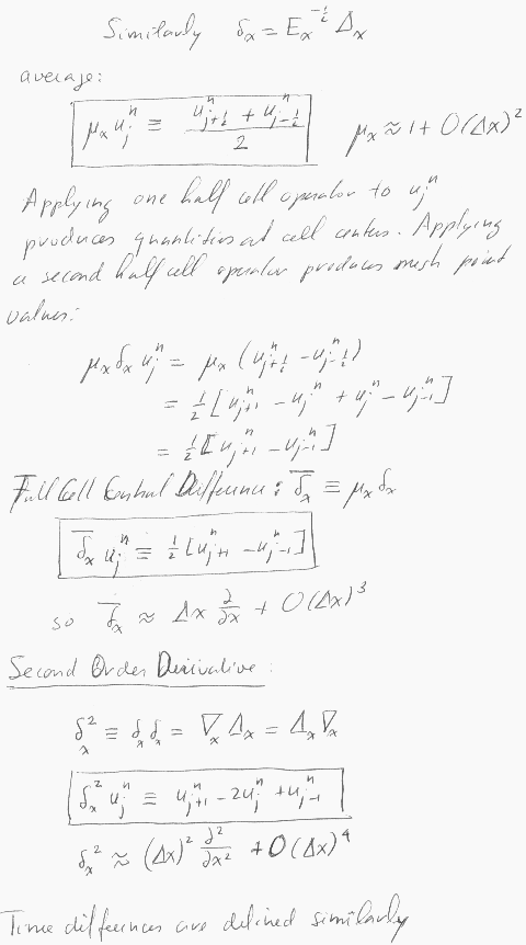
Grab0006.GIF