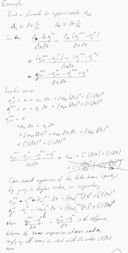
Grab0007.GIF