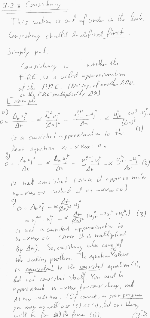
Grab0012.GIF