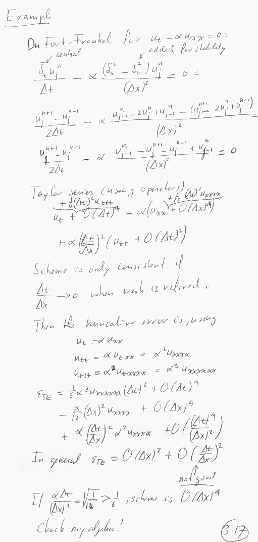
Grab0017.GIF