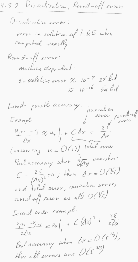
Grab0018.GIF