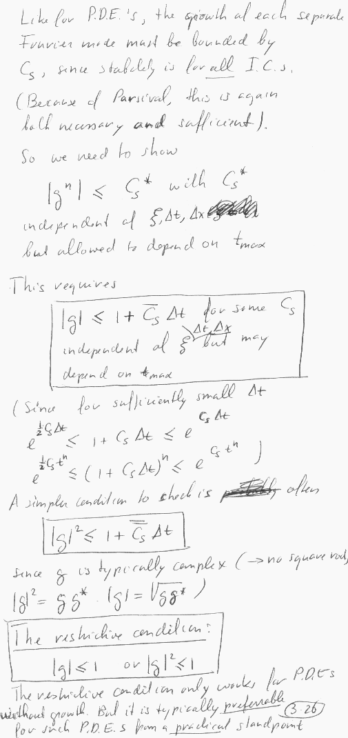
Grab0027.GIF