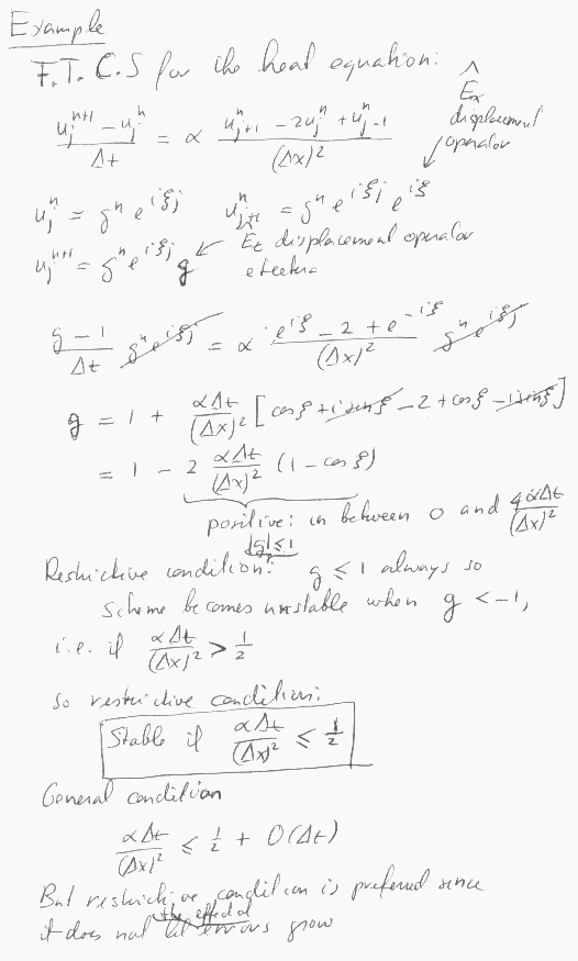
Grab0028.GIF