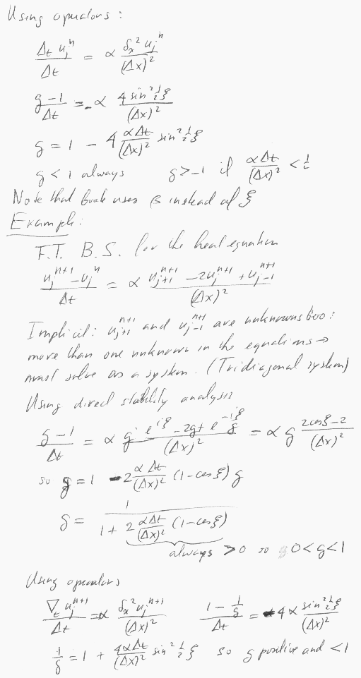
Grab0029.GIF