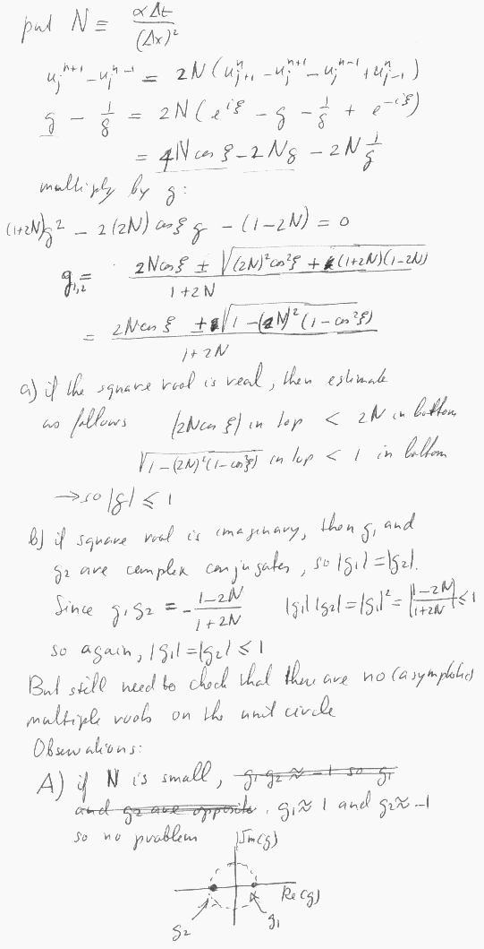
Grab0032.GIF