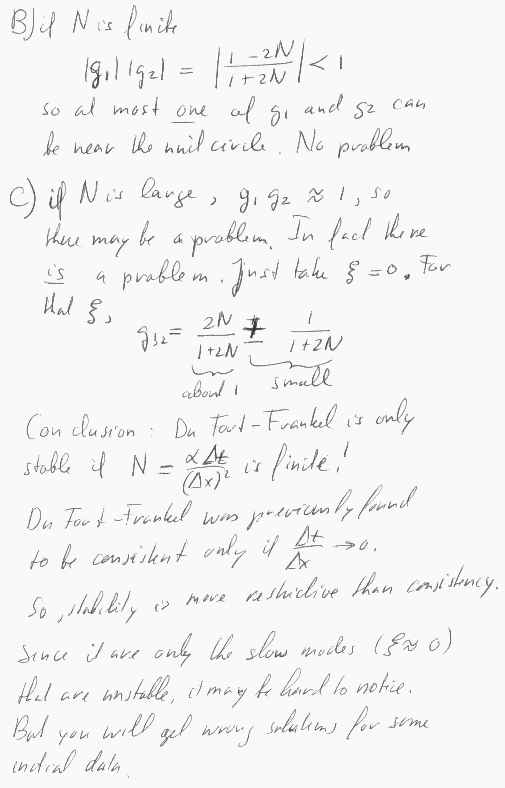
Grab0033.GIF