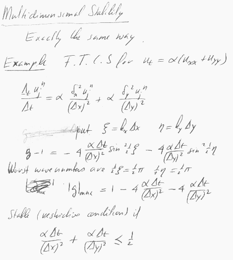
Grab0034.GIF