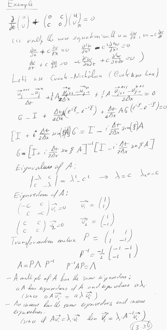
Grab0036.GIF