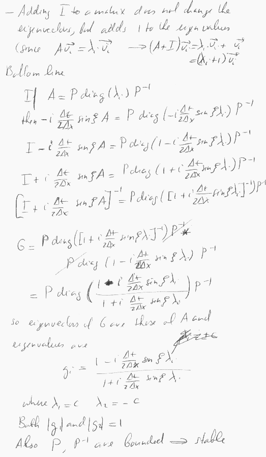
Grab0037.GIF