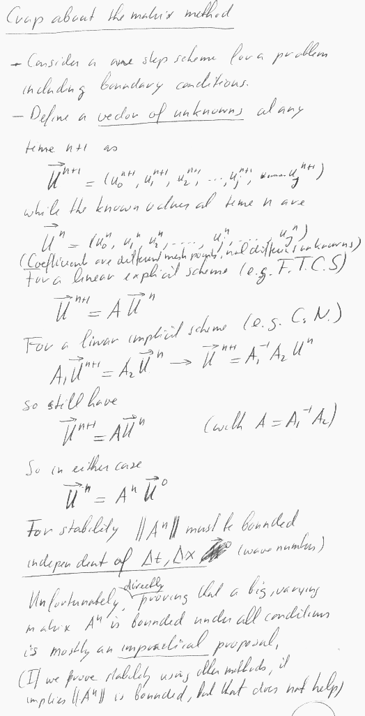
Grab0040.GIF