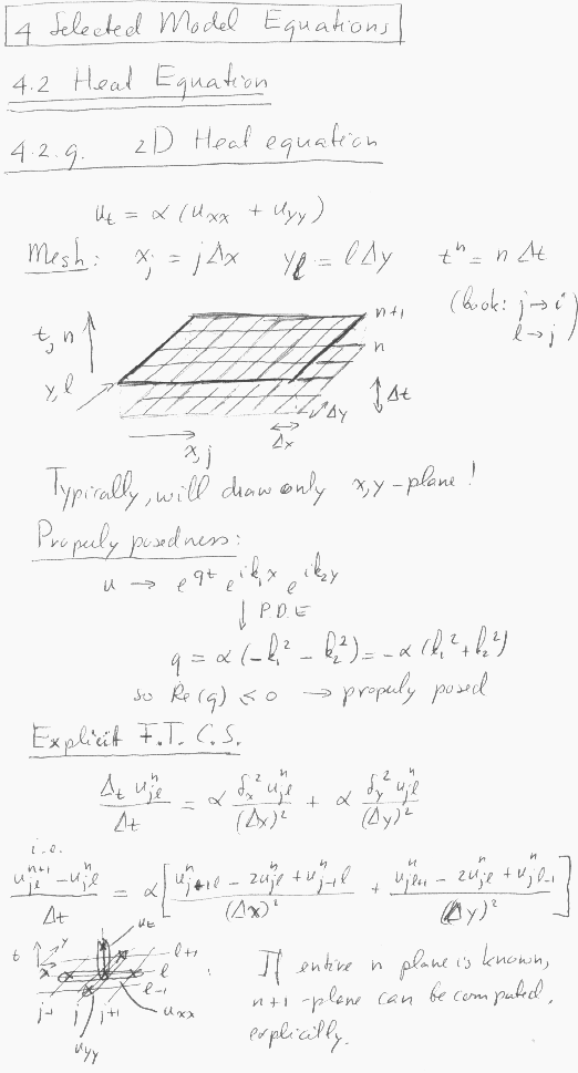
Grab0001.GIF
11/16/01 0:00:46