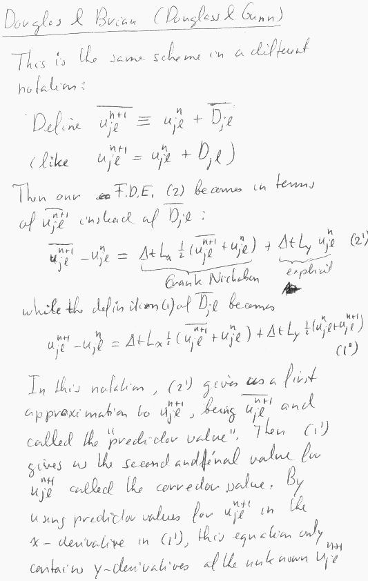
Grab0010.GIF