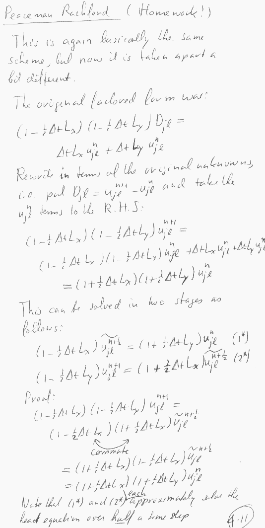
Grab0011.GIF