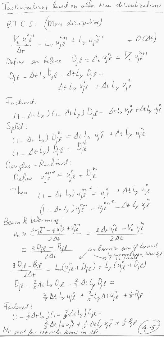
Grab0015.GIF