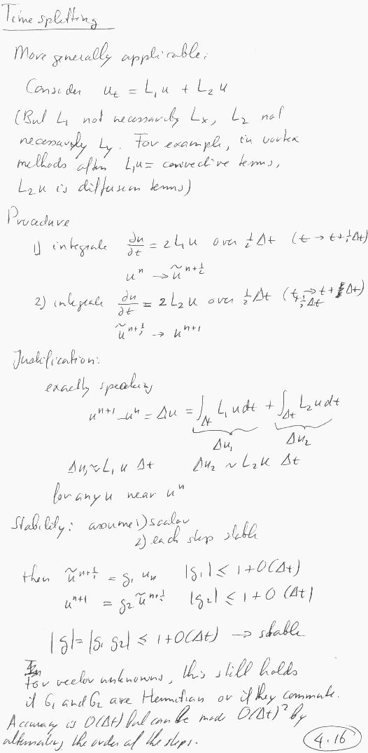
Grab0016.GIF