Projects



Uni-directional flow
Burgers' equation
Supersonic flow on a cone
Fall 2000 individual project 1
Fall 2000 individual project 2
Fall 2000 individual project 3
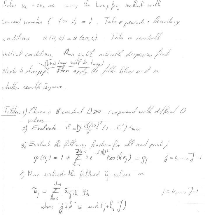
Fall 2000 individual project 4

Up to year-specific info