next up Up: Return

EML 5709 Homework 1 Spring 1997

  1. At sea level, the number of air molecules per cubic meter tex2html_wrap_inline28 and the free path length is tex2html_wrap_inline30 meter. Compare with the typical dimension of a rocket ( tex2html_wrap_inline32 ). How many molecules in a cube of dimension tex2html_wrap_inline34km above sea level, where tex2html_wrap_inline38 and tex2html_wrap_inline40 meter. Discuss whether we can use the continuum approximation. Solution.
  2. Consider fluid in a gap between two horizontal plates. The bottom plate is at rest in the x,z-plane, while the top plate moves in the x-direction with speed 1 and in the z-direction with speed 1. The gap between the plates has size h and the plates have surface area S. Assume the fluid velocity in the gap changes linearly, tex2html_wrap_inline52 . Also, the thermodynamic pressure in the fluid equals the athmospheric pressure tex2html_wrap_inline52 and the fluid is Newtonian. Draw and list all forces acting on a little 3D cube of fluid dxdydz in the gap. Also draw the fluid forces acting on the top and bottom plates themselves. Solution.
  3. Assume for the same flow that the bottom plate is at temperature tex2html_wrap_inline54 and the top plate at temperature tex2html_wrap_inline56 , and that the temperature varies linearly through the gap. Draw and list all heat flowing in or out a small 3D cube of fluid. Solution.
  4. Assume that in the computation of a two-dimensional flow, the flow field is discretized into a two-dimensional grid of points spaced a distance h apart in the horizontal and vertical directions. Approximate the stress tensor in a typical grid point in terms of the velocity components of the four points above, below, to the left, and to the right. Solution.
  5. For the same point, approximate the heat flux in terms of the temperature at the neighboring four points. Solution.
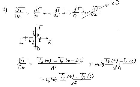
  6. For the same point and neighbors, approximate the Lagrangian derivative of the temperature using the temperatures at the neighboring points, and the temperature at the point itself, along with the temperature at the point itself at a slightly earlier time tex2html_wrap_inline60 Solution.
  7. Using the relationship for divergence given in Appendix A of the book, express the continuity equation in spherical coordinates. Solution.
  8. Assume that in the computation of an incompressible two-dimensional flow, the flow field is subdivided into small squares. Express conservation of mass for one such small square in terms of the velocity components at the four vertices of the square. Solution.
  9. Assume that in the computation of an incompressible two-dimensional flow, the flow field is subdivided into small squares. Express conservation of x-momentum for one such small square in terms of the velocity, pressure and viscous stress components at the four vertices of the square at the current time t and at a slightly earlier time tex2html_wrap_inline60 . Solution.
  10. Assume that a computation of a two-dimensional flow is to be conducted in a moving coordinate system. Adapt the derivation of the Reynolds transport theorem to write the four integral conservation laws for a general moving region in terms of the thermodynamic quantities, fluid velocity components, and velocity components of the boundary of the region. Solution.
  11. From the energy equation derived in class, show that the sum of kinetic energy and enthalpy per unit mass of air that passes through a constriction in a pipe is unchanged. To do so, ignore gravity, assume that the viscous stresses on the air entering and leaving the pipe can be ignored (although they are important inside the pipe), that there is no heat conduction through the surface of the pipe, and that the flow inside the pipe is steady. Take the flow velocity and thermodynamic properties to be constant at both the entrance and the exit. Discuss each term in the energy equation. Solution.
  12. A fluid contains a pollutant. If the ratio of local pollutant mass to local total fluid mass is f(x,y,z,t), write the law of conservation of pollutant mass in integral form, assuming that the amount of pollutant mass in any given total mass of fluid is constant. Take tex2html_wrap_inline70 to be the total local fluid mass per unit volume. Solution.
  13. Show that in the absence of heat conduction, the entropy of a Newtonian fluid increases with time. Solution.
  14. In the computation of an two-dimensional incompressible inviscid flow, say flow about a submerged pipe in the sea, the unknowns are the velocity components and pressure. Discuss boundary conditions to apply at the surface of the pipe and at the surface of the sea. Solution.
  15. In the computation of an two-dimensional incompressible viscous flow, say flow about a submerged pipe in the sea, the unknowns are the velocity components and pressure. Discuss boundary conditions to apply at the surface of the pipe and at the free surface. Solution.
  16. In the computation of an two-dimensional compressible inviscid flow, say flow about a two-dimensional airplane wing, the unknowns are the velocity components and thermodynamic properties. Discuss boundary conditions to apply at the surface of the wing. Solution.
  17. In the computation of an two-dimensional compressible viscous flow, say flow about a two-dimensional airplane wing, the unknowns are the velocity components and thermodynamic properties. Discuss boundary conditions to apply at the surface of the wing. Solution.


next up Up: Return

Author: Leon van Dommelen