next up Up: Return

EML 5709 Homework 2 Spring 1997

  1. For the velocity field

    displaymath35

    sketch a bundle of streamlines at a typical time t=0.5 both in 3D and their projections onto the x,y- and z,x-planes. Solution.

  2. For the same flow, sketch the projection of a typical path line onto the x,y-plane. Also sketch the projection of the pathline on the z,x-plane and in 3D. Eliminate any unnecessary parameter from the solution. Solution.
  3. For the same flow, find and draw the streakline generated by a smoke generator at the point (1,0,0) both at time t=0 and at tex2html_wrap_inline49 . Eliminate any unnecessary parameter from the solution. Find the difference between the shapes of the pathlines and the streakline. Solution.
  4. The following flow field models the formation of a tornado:

    displaymath51

    where tex2html_wrap_inline53 and tex2html_wrap_inline55 are constants. Since R and t can be normalized, we can assume without loss of generality that tex2html_wrap_inline61 and tex2html_wrap_inline63 . Find and draw a couple of streamlines for a time t>0. Solution.

  5. For the same flow field, find and draw a typical particle path. Have the particle paths and streamlines the same shape? Solution.
  6. For the same flow field, find tex2html_wrap_inline67 as a function of R for a streakline. Sketch the streakline for a time tex2html_wrap_inline71 and for a time tex2html_wrap_inline73 . Solution.
  7. (Essentially question 2.3 in the 2nd edition of the book). Given the velocity field tex2html_wrap_inline75 , find the circulation tex2html_wrap_inline77 around the rectangle tex2html_wrap_inline79 , tex by integrating around its perimeter. Solution.
  8. (Essentially question 2.3 in the 2nd edition of the book). Also find the circulation by finding the vorticity and integrating tex2html_wrap_inline83 . Check Stokes' theorem. Solution.
  9. (Essentially question 2.5 in the 2nd edition of the book). For the two-dimensional velocity field

    displaymath85

    compute the circulation around the square tex2html_wrap_inline87 . tex2html_wrap_inline89 . Solution.

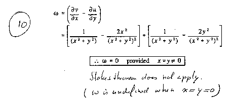
  10. (Essentially question 2.5 in the 2nd edition of the book). For the same flow, compute the vorticity and integrate tex2html_wrap_inline91 . Check Stokes' theorem. Solution.
  11. Repeat the previous two questions but use polar coordinates. Check that you get the same results as before. How much is tex2html_wrap_inline93 in polar coordinates? So how much is the circulation around any contour around the origin? How much is the circulation around any contour not around the origin? Solution.
  12. (Expanded question 2.6 in the 2nd edition of the book). For the three flows
    (a)
    tex2html_wrap_inline95 , tex2html_wrap_inline97 with tex2html_wrap_inline99 );
    (b)
    tex2html_wrap_inline95 , tex2html_wrap_inline105 with tex2html_wrap_inline107 );
    (c)
    tex2html_wrap_inline111 , tex2html_wrap_inline113 with tex2html_wrap_inline115 );

    compute the circulation tex2html_wrap_inline119 around an arbitrary circle around the origin. Also compute the volumetric flow rate tex2html_wrap_inline121 coming out of a cylinder of unit length around the z-axis. Solution.
  13. For the three flows of the previous question, compute the vorticity and see whether Stokes' theorem applies. If not, explain. Solution.
  14. For the three flows of the previous two questions, compute the divergence of the velocity and see whether the divergence theorem applies to the flow out of the cylinder. If not, explain. Solution.
  15. Consider viscous flow through a pipe of arbitrary cross-section and length. Show that the product of cross sectional area times average axial component of vorticity, tex2html_wrap_inline125 , is constant along the pipe, the same way that the volume flow u A is constant for an incompressible flow. What is the value of the constant? Solution.
  16. Discuss where you would find vorticity in the flow about a car. Must the vortex lines always meet the surface of the car tangentially? If not, give cases in which they do not. What numerical advantage could there be in describing the flow field about the car by means of its vorticity, instead of its velocity? Solution.


next up Up: Return

Author: Leon van Dommelen