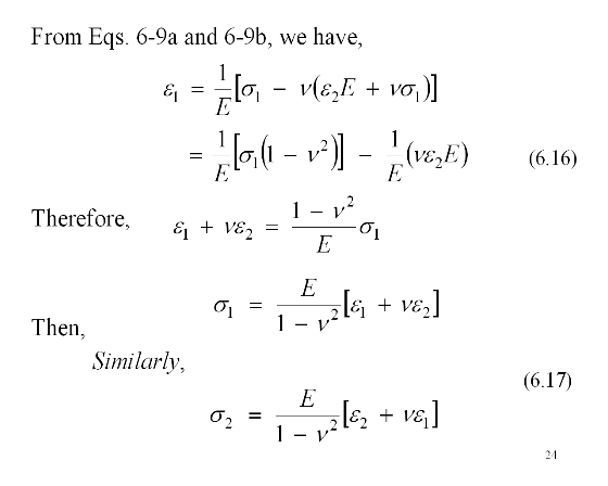
First
  
Previous
  
Next
  
Last
     
Index
  
Text
  
Slide 24 of 40