Ramjet Example

 

 

 

 

 

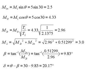
Given:  M1=5 and q = 300

Find: Deflection angle (cone angle) d, stagnation pressure ratio (po2/p01), and M2..  

 

From Table 3.1 in FGT book:

 

T2/T1 = 2.1375

M2n = 0.51299

P02/P01 = 0.49901

 

 

 

 

 

HOME