8.2.6 Effects of cut-off circulation

In this section we want to discuss a question that has not received sufficient attention in the past; the question when the vorticity is small enough that a numerical computation can neglect it. Of course, since the incompressible Navier-Stokes equations have elliptic properties, for all nonzero times the vorticity field extends all the way to infinity. But the vorticity well above the boundary layers is exponentially small, and is neglected beyond some point in almost any scheme. For example, a finite difference scheme may impose a condition of zero vorticity or zero vorticity flux at some cutoff line well above the viscous region. In a pressure-velocity formulation, meaningful information about the vorticity no longer exists when the numerical errors in the velocity differences exceed velocity differences due to the vorticity. As we explained in subsection 6.2.5, in our own computations, as well as in various other vortex computations, the generation of excessive numbers of vortices with exponentially small strength is prevented by not diffusing vortices if their strength is less than some very small ``cutoff circulation" $\epsilon_\Gamma$.

However, as we also pointed out in subsection 6.2.5, Van Dommelen & Shen [239] warned that this may be dangerous. These authors studied the boundary layer flow at the rear stagnation point, and discovered that its behavior for long times is completely determined by the exponentially small velocities above the boundary layer. It suggests that great care must be taken to select a value of the cutoff circulation, since it can destroy essential information. This is especially likely for flows at high Reynolds numbers since the exact solution of Van Dommelen & Shen [239] is being approached more closely for increasing Reynolds number. The warning applies to any numerical scheme, since it is due to the physics of the flow itself.

To show that the warning is highly relevant, we will now present the effect of the value of $\epsilon_\Gamma$.

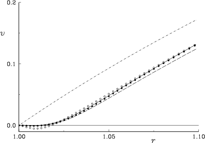
Figure 8.31: Impulsively translated cylinder, $Re=9,500$: Radial velocity along the rear symmetry line at time $t=0.50$. Dashed line is standard boundary layer theory. Solid line is second-order boundary layer theory. Solid symbols are vorticity redistribution solutions for $\Delta t=0.01$ and $\epsilon _\Gamma =10^{-6}$. Open symbols are vorticity redistribution solutions for $\Delta t=0.01$ and $\epsilon _\Gamma =10^{-5}$. Dash-dot line is the irrotational flow solution.
\begin{figure}{\hspace{-10mm} \centerline{\epsfxsize=16cm\epsfbox{rearv.eps} }}\end{figure}

Figure 8.32: Impulsively translated cylinder, $Re=9,500$: Radial velocity along the rear symmetry axis. Short dashed lines are computed velocity using $\Delta t=0.01$ and $\epsilon _\Gamma =10^{-5}$. Solid lines are computed velocity using $\Delta t=0.01$ and $\epsilon _\Gamma =10^{-6}$.
\begin{figure}{\hspace{10mm}
\centerline{\epsfxsize=15.5cm\epsfbox{u9_err.eps} }}\end{figure}

One clear effect of the cut-off circulation on the computed velocity is shown in figure 8.31. The figure shows the radial velocity along the rear symmetry axis at an early time $t=0.50$. The computed velocity for $\epsilon _\Gamma =10^{-6}$ is in excellent agreement with that of the second-order boundary layer theory of Van Dommelen & Shankar (unpublished). However, for a higher value $\epsilon _\Gamma =10^{-5}$, there are significant errors; for example, the flow reverses earlier as indicated by the negative velocity. For later times, figure 8.32 shows that the computed velocity fields obtained using $\epsilon _\Gamma =10^{-5}$ and $10^{-6}$ differ even more widely than at $t=0.50$.

Figure 8.33: Impulsively translated cylinder, $Re=9,500$: Vorticity fields at time $t=2.50$ for $\Delta t=0.04$, 0.02, & 0.01. (a) $\epsilon _\Gamma =10^{-5}$; (b) $\epsilon _\Gamma =10^{-6}$.
\begin{figure}\par
\vspace{-23mm}
\vspace{0.75in}
\centerline{
{\hspace{-8mm} \e...
...ale=90
hoffset=-79 voffset=240 }} }
\par
\vspace{-0.3in}
\par\par
\end{figure}

Figure 8.34: Impulsively translated cylinder, $Re=9,500$: Vorticity fields at time $t=3.00$ for $\Delta t=0.04$, 0.02, & 0.01. (a) $\epsilon _\Gamma =10^{-5}$; (b) $\epsilon _\Gamma =10^{-6}$.
\begin{figure}\par
\vspace{-23mm}
\vspace{0.75in}
\centerline{
{\hspace{-8mm} \e...
...0 vscale=90
hoffset=-79 voffset=240 }} }
\par
\vspace{-0.3in}
\par\end{figure}

Figures 8.33 and 8.34 show the effect of the cut-off circulation on the computed vorticity fields at two different times $t=2.50$ and $t=3.00$. The figures show that for $\epsilon _\Gamma =10^{-6}$ (lower cut-off) , the computed vorticity fields converge as the time step $\Delta t$ is reduced. However, for a higher value of $\epsilon _\Gamma =10^{-5}$, the computed vorticity fields do not converge as the time step is reduced. The reason that the vorticity fields do not converge is the following: As the time step is reduced, the number of vortices increases inversely proportional to the time step. As the number of vortices increases, the average circulation of a vortex is reduced, and hence the same cut-off circulation neglects more of the vorticity field. This evidenced by comparing the time steps $\Delta t=0.01$ and $\Delta t=0.02$ for the larger cutoff in figure 8.33 and 8.34. The larger time step is in much better agreement with the converged data for the smaller cutoff. Since the time step change is equivalent to an equivalent change in $\epsilon_\Gamma$ by only a factor 2, we believe our factor 10 reduction in $\epsilon_\Gamma$ for our final results should be more than enough. This is further supported by the comparisons with the analytical solution in figures 8.13 and 8.31. However, detailed convergence studies would need to be conducted to clarify the precise limits.

Figure 8.35: Impulsively translated cylinder, $Re=9,500$: Vorticity fields obtained in particle strength exchange computation (preliminary data of Shiels [208], used by kind permission); $\Delta t=0.005$, cut-off vorticity = $10^{-4}$ and Gaussian kernel size = 1.1 times the average particle spacing.
\begin{figure}\par
\centerline{
{\hspace{-7mm} \epsfxsize=10.5cm\epsfbox{o9_dg_1...
...mm} \epsfxsize=10.5cm\epsfbox{o9_dg_3.eps}}
}
\vspace{.35in}
\par\end{figure}

Similarly, the computations [117,119,208] based on the particle strength exchange scheme also use a cut-off vorticity parameter; the particles are eliminated from the computations if their vorticity values fall below a chosen cut-off vorticity value. Shiels's [208] preliminary computation of the impulsively started cylinder flow at $Re=9,500$ shows that the computed vorticity fields are significantly affected if the cut-off vorticity is chosen to be too high; compare the vorticity fields in figure 8.35 computed using a cut-off vorticity is $10^{-4}$ and that of figure 8.22(a) computed using a cut-off vorticity $10^{-5}$. Notice that his computed vorticity field in figure 8.35 at $t=3.00$ is remarkably similar to our unconverged vorticity field in figure 8.34(a) corresponding to $\Delta t=0.01$. The `blockiness' in the figure 8.35 is simply due to the coarseness of the mesh he used to plot the vorticity and not due to the computation itself. In his computation, the time step is $\Delta t=0.005$; and the Gaussian kernel size is 1.1 times the average spacing between the particles. The number of particles in his computation is 236,000 at $t=1.0$, 380,000 at $t=2.00$, and 543,000 at $t=3.00$.

Figure 8.36: Impulsively translated cylinder, $Re=9,500$: Drag. (a) Solid line is $\Delta t=0.01$ and $\epsilon _\Gamma =10^{-6}$. Short dashed line is $\Delta t=0.01$ and $\epsilon _\Gamma =10^{-5}$. (b) Solid line is $\Delta t=0.01$ and $\epsilon _\Gamma =10^{-6}$. Dot-dashed line is $\Delta t=0.02$ and $\epsilon _\Gamma =10^{-5}$. Long dashed line is $\Delta t=0.04$ and $\epsilon _\Gamma =10^{-5}$.
\begin{figure}{\hspace{-2mm} \centerline{\epsfxsize=12cm\epsfbox{cd9_e1.eps} }}
...
...cale=100 vscale=100 hoffset=226 voffset=-82}
\vspace{-0.55in}
\par\end{figure}

The computed drag values are also affected by the cut-off circulation, figure 8.36(a). This figure indicates that seemingly small differences between drag curves could really mean significant differences in the respective vorticity fields. Notice that the computed drag obtained using $\Delta t=0.02$ is in much better agreement with the converged drag values, figure 8.36(b). As before, it indicates that our final cutoff $10^{-6}$ should be sufficient.